Bouveault aldehyde synthesis

Bouveault aldehyde synthesis
Named after Louis Bouveault
Reaction type Carbon-carbon bond forming reaction
Identifiers
RSC ontology ID RXNO:0000533

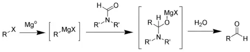
The Bouveault aldehyde synthesis (also known as the Bouveault reaction) is a one-pot substitution reaction that replaces an alkyl or aryl halide with a formyl group using a N,N-disubstituted formamide.[1][2] For primary alkyl halides this produces the homologous aldehyde one carbon longer. For aryl halides this produces the corresponding carbaldehyde. The Bouveault aldehyde synthesis is an example of a formylation reaction, and is named for French scientist Louis Bouveault.

The Bouveault aldehyde synthesis

Reaction mechanism

The first step of the Bouveault aldehyde synthesis is the formation of the Grignard reagent. Upon addition of a N,N-disubstituted formamide (such as dimethylformamide) a hemiaminal is formed, which can easily be hydrolyzed into the desired aldehyde.

Variations

Variants using organolithium reagents instead of magnesium-based Grignard reagents are also considered Bouveault aldehyde syntheses.[3]

See also

References

  1. ^ Louis Bouveault (1904). "Modes de formation et de préparation des aldéhydes saturées de la série grasse" [Methods of preparation of saturated aldehydes of the aliphatic series]. Bull. Soc. Chim. Fr. (in French). 31: 1306–1322.
  2. ^ Louis Bouveault (1904). "Nouvelle méthode générale synthétique de préparation des aldéhydes" [Novel general synthetic method for preparing aldehydes]. Bull. Soc. Chim. Fr. (in French). 31: 1322–1327.
  3. ^ Jie Jack Li. Name Reactions: A Collection of Detailed Reaction Mechanisms. Springer, 2003. ISBN 3-540-40203-9