Staudinger reaction
| Staudinger reaction | |
|---|---|
| Named after | Hermann Staudinger |
| Reaction type | Organic redox reaction |
| Identifiers | |
| Organic Chemistry Portal | staudinger-reaction |
| RSC ontology ID | RXNO:0000066 |
The Staudinger reaction is a chemical reaction of an organic azide with a phosphine or phosphite produces an iminophosphorane.[1][2] The reaction was discovered by and named after Hermann Staudinger.[3] The reaction follows this stoichiometry:
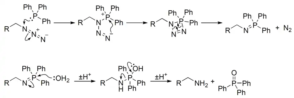
- R3P + R'N3 → R3P=NR' + N2
Staudinger reduction
The Staudinger reduction is conducted in two steps. First phosphine imine-forming reaction is conducted involving treatment of the azide with the phosphine. The intermediate, e.g. triphenylphosphine phenylimide, is then subjected to hydrolysis to produce a phosphine oxide and an amine:
- R3P=NR' + H2O → R3P=O + R'NH2
The overall conversion is a mild method of reducing an azide to an amine. Triphenylphosphine or tributylphosphine are most commonly used, yielding tributylphosphine oxide or triphenylphosphine oxide as a side product in addition to the desired amine. An example of a Staudinger reduction is the organic synthesis of the pinwheel compound 1,3,5-tris(aminomethyl)-2,4,6-triethylbenzene.[4]
Reaction mechanism
The reaction mechanism centers around the formation of an iminophosphorane through nucleophilic addition of the aryl or alkyl phosphine at the terminal nitrogen atom of the organic azide and expulsion of diatomic nitrogen. The iminophosphorane is then hydrolyzed in the second step to the amine and a phosphine oxide byproduct.

Staudinger ligation
Of interest in chemical biology is the Staudinger ligation, which has been called one of the most important bioconjugation methods.[5] Two versions of the Staudinger ligation have been developed. Both begin with the classic iminophosphorane reaction.
In the classical Staudinger ligation, the organophosphorus compound becomes incorporated into the nascent amide.[6] Typically, appended to the organophosphorus component are reporter groups such as fluorophores. In the traceless Staudinger ligation, the organophosphorus group dissociates, giving a phosphorus-free peptide or bioconjugate.[7][8]


References
- ^ Gololobov, Y. G. (1981), "Sixty Years of Staudinger Reaction", Tetrahedron, 37 (3): 437–472, doi:10.1016/S0040-4020(01)92417-2
- ^ Gololobov, Y. G.; Kasukhin, L. F. (1992), "Recent Advances in the Staudinger Reaction", Tetrahedron, 48 (8): 1353–1406, doi:10.1016/S0040-4020(01)92229-X
- ^ Staudinger, H.; Meyer, J. (1919), "Über neue organische Phosphorverbindungen III. Phosphinmethylenderivate und Phosphinimine", Helv. Chim. Acta, 2 (1): 635, doi:10.1002/hlca.19190020164
- ^ Wallace, Karl J.; Hanes, Robert; Anslyn, Eric; Morey, Jeroni; Kilway, Kathleen V.; Siegel, Jay (2005), "Preparation of 1,3,5-Tris(aminomethyl)-2,4,6-triethylbenzene from Two Versatile 1,3,5-Tri(halosubstituted) 2,4,6-Triethylbenzene Derivatives", Synthesis (12): 2080–2083, doi:10.1055/s-2005-869963
- ^ Bednarek, Christin; Wehl, Ilona; Jung, Nicole; Schepers, Ute; Bräse, Stefan (2020). "The Staudinger Ligation". Chemical Reviews. 120 (10): 4301–4354. doi:10.1021/acs.chemrev.9b00665. PMID 32356973. S2CID 218480283.
- ^ Saxon, Eliana; Bertozzi, Carolyn R. (May 2000). "Cell Surface Engineering by a Modified Staudinger Reaction". Science. 287 (5460): 2007–2010. doi:10.1126/science.287.5460.2007. PMID 10720325.
- ^ Nilsson, Bradley L.; Kiessling, Laura L.; Raines, Ronald T. (June 2000). "Staudinger Ligation: A Peptide from a Thioester and Azide". Organic Letters. 2 (13): 1939–1941. doi:10.1021/ol0060174. PMID 10891196.
- ^ Saxon, Eliana; Armstrong, Joshua I.; Bertozzi, Carolyn R. (July 2000). "A "Traceless" Staudinger Ligation for the Chemoselective Synthesis of Amide Bonds". Organic Letters. 2 (14): 2141–1943. doi:10.1021/ol006054v. PMID 10891251.
External links
- Staudinger Reaction at organic-chemistry.org accessed 060906.
- Julia-Staudinger Reaction