Fujimoto–Belleau reaction
The Fujimoto–Belleau reaction is a chemical reaction that forms cyclic α-substituted α,β-unsaturated ketones from enol lactones. The reaction was discovered in 1951 by George I. Fujimoto and Bernard Belleau. Belleau used this reaction to synthesize 1-methyl-3-keto-1,2,3,9,10,10a-hexahydrophenanthrene from a ketoacid starting material and Fujimoto demonstrated that steroids could be synthesized from naturally occurring lactone species using this method as well.

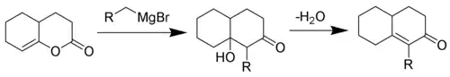
The reaction starts with opening the ring by the attack of the Grignard reagent, forming an enolate. A proton transfer occurs, forming another enolate via deprotonation of the carbon atom attached to the R group. Using the enolate, an aldol condensation then occurs with aqueous or acidic workup—i.e., aldol addition followed by an E1cB elimination of hydroxide occurs.[1]

Applications of the Fujimoto–Belleau reaction
Steroid synthesis
The Fujimoto–Belleau reaction is used in commonly used in steroid synthesis. The reaction can be employed in the syntheses of steroids such as cholestenone, testosterone, and cortisone. Below is a scheme for the Fujimoto–Belleau reaction invoked in steroid synthesis. Note that this pathway is not the true total syntheses for these steroids.
References
- ^ Wang, Zerong (September 15, 2010). "Fujimoto-Belleau Reaction". Comprehensive Organic Name Reactions and Reagents. doi:10.1002/9780470638859. ISBN 9780470638859.
- George I. Fujimoto (1951). "Labeling of Steroids in the 4-Position". J. Am. Chem. Soc. 73 (4): 1856. Bibcode:1951JAChS..73.1856F. doi:10.1021/ja01148a518.
- Bernard Belleau (1951). "The Reaction of Methylmagnesium Iodide with β-(1-Hydroxy-3,4-dihydro-2-naphthyl)-butyric Acid Lactone". J. Am. Chem. Soc. 73 (11): 5441–5443. Bibcode:1951JAChS..73.5441B. doi:10.1021/ja01155a504.
- Weill-Raynal, J. Synthesis 1969, 49.