Cathinone

Cathinone
Clinical data
Other namesβ-Ketoamphetamine; Benzoylethanamine[1]
Dependence
liability
Physical: no data Psychological: Low–moderate[2]
ATC code
  • none
Legal status
Legal status
Pharmacokinetic data
Elimination half-life0.7–2.3 h[4]
Identifiers
  • (S)-2-Amino-1-phenylpropan-1-one
CAS Number
PubChem CID
DrugBank
ChemSpider
UNII
KEGG
ChEBI
ChEMBL
CompTox Dashboard (EPA)
ECHA InfoCard100.163.927
Chemical and physical data
FormulaC9H11NO
Molar mass149.193 g·mol−1
3D model (JSmol)
  • O=C(c1ccccc1)[C@@H](N)C
  • InChI=1S/C9H11NO/c1-7(10)9(11)8-5-3-2-4-6-8/h2-7H,10H2,1H3/t7-/m0/s1 checkY
  • Key:PUAQLLVFLMYYJJ-ZETCQYMHSA-N checkY
 ☒NcheckY (what is this?)  (verify)

Cathinone (/ˈkæθɪnn/; also known as β-ketoamphetamine) is a monoamine alkaloid found in the shrub Catha edulis (khat) and is chemically similar to ephedrine, cathine, methcathinone and other amphetamines. It is probably the main contributor to the stimulant effect of Catha edulis. Cathinone differs from many other amphetamines in that it has a ketone functional group. Other phenethylamines that share this structure include the stimulants methcathinone, MDPV, mephedrone and the antidepressant bupropion.

History

Discovery

Khat has been cultivated in the Horn of Africa and Arabian Peninsula region of the world for thousands of years. It is most commonly chewed for the euphoric effect it produces. The active ingredient was first proposed in 1930, when cathine was identified as a predominant alkaloid in the plant.[5] Cathine was thought to be the main active ingredient in khat until the 1960s, when it was found that the amount of cathine in the khat leaves is insufficient to produce the effects observed. In 1975, the United Nations Narcotic Laboratory analyzed khat leaves from Yemen, Kenya and Madagascar and found evidence of a different alkaloid, cathinone.[5] Cathinone is molecularly similar to cathine, but is much more abundant in younger plants. This finding caused scientists to speculate that cathinone was the true active ingredient in khat.[5]

A study was conducted in 1994 to test the effects of cathinone. Six volunteers who had never chewed khat were given an active khat sample and a cathinone-free placebo sample.[6] The researchers analyzed the participants' moods, activity levels and blood pressure before and after consuming the khat or placebo. This analysis showed that cathinone produced amphetamine-like effects, leading the researchers to confirm that cathinone, not cathine, is the active ingredient in khat leaves.[6]

Cultural significance

Man chewing khat

Over 20 million people in the Arabian Peninsula and East Africa chew khat leaves daily. It is an important piece of the culture and economy in this region, especially in Ethiopia (where khat is said to have originated), Kenya, Djibouti, Somalia and Yemen. Men usually chew it during parties or other social gatherings while smoking cigarettes and drinking tea. Farmers and other workers also use khat in the afternoon to reduce fatigue and hunger as the day goes on. It functions like the caffeine in a strong cup of coffee as an anti-fatigue drug. Students and drivers have been known to use it to stay alert for longer periods of time.[7]

In order to produce its desired effects, khat leaves should be chewed fresh. The fresh leaves have a higher concentration of cathinone. Waiting too long after cultivation to chew the leaf will allow the cathinone to break down into its less potent form, cathine. Because of the need for quick chewing, it is a habit that has historically been prevalent only where the plant grows. However, in the recent years with improvements in road and air transport, khat chewing has spread to all corners of the world.

The cultivation of khat in Yemen is a highly profitable industry for farmers. Khat plants will grow differently depending on the climate they are grown in and each one will produce different amounts of cathinone.[8] It generally grows best in coastal, hot climates. In Yemen, the khat plant is named after the region in which it is grown. The Nehmi khat plant has the highest known concentration of cathinone, 342.5 mg/100 g.[8]

Legality

Internationally, cathinone is a Schedule I drug under the Convention on Psychotropic Substances.[9] Circa 1993, the DEA added cathinone to the Controlled Substances Act's Schedule I.

The sale of khat is legal in some jurisdictions, but illegal in others (see Khat (Regulation)). Substituted cathinones were also often used as the key ingredient of recreational drug mixes commonly known as "bath salts" in the United States.[10][11][12][13]

The table below shows the legality of khat and cathinone in various countries:

Region Regulation
Eritrea Legal
Ethiopia Legal
Somalia Legal
Djibouti Legal
Kenya Khat is legal but cathinone and cathine are classified as Class C substances
South Africa Khat is a protected plant
China Illegal
Israel Legal – The khat plant leaves are allowed to be chewed and beverages containing khat are legal, but it is illegal to sell pills based on cathinone extracts
Malaysia Illegal
Saudi Arabia Illegal
Yemen Khat is legal but the cultivation and selling of the plant is regulated by the government
Denmark Illegal
Finland Illegal
France Khat is prohibited as a stimulant
Germany Khat is illegal but a derivative of cathinone is available upon prescription
Ireland Illegal unless authorized
Netherlands Cathinone and cathine have been illegal but khat was announced as illegal in 2012
Norway Illegal
Poland Illegal
Sweden Illegal
Switzerland Illegal
United Kingdom Illegal
Canada Illegal to obtain unless approved by a medical practitioner
United States Illegal
Australia Illegal
New Zealand Illegal
Georgia The khat plant itself is allowed to be sold and chewed, but it is illegal to sell or make beverages containing khat
Turkey Illegal[14]
Bulgaria Illegal under List I - "Plants and substances with a high risk to the public health due to their harmful effect of misuse, prohibited for use in human and veterinary medicine"[15]

Pharmacology

Pharmacodynamics

Monoamine release of cathinone and related agents (EC50Tooltip Half maximal effective concentration, nM)
Compound NETooltip Norepinephrine DATooltip Dopamine 5-HTTooltip Serotonin Ref
Phenethylamine 10.9 39.5 >10,000 [16][17][18]
Amphetamine ND ND ND ND
  Dextroamphetamine 6.6–7.2 5.8–24.8 698–1,765 [19][20]
  Levoamphetamine 9.5 27.7 ND [17][18]
Methamphetamine ND ND ND ND
  Dextromethamphetamine 12.3–13.8 8.5–24.5 736–1,292 [19][21]
  Levomethamphetamine 28.5 416 4,640 [19]
Cathinone 23.6–25.6 34.8–83.1 6,100–7,595 [18][22][23]
  D-Cathinone 72.0 184 >10,000 [24]
  L-Cathinone 12.4–28 18–24.6 2,366–9,267 [25][26][24]
Methcathinone 22–26.1 12.5–49.9 2,592–5,853 [18][22][27][28][23]
  D-Methcathinone ND ND IA [29]
  L-Methcathinone 13.1 14.8 1,772 [25][30]
Cathine 15.0 68.3 >10,000 [25]
Notes: The smaller the value, the more strongly the drug releases the neurotransmitter. The assays were done in rat brain synaptosomes and human potencies may be different. See also Monoamine releasing agent § Activity profiles for a larger table with more compounds. Refs:[31][32]

Cathinone has been found to stimulate the release of dopamine and inhibit the reuptake of epinephrine, norepinephrine and serotonin in the central nervous system (CNS). These neurotransmitters are all considered monoamines and share the general structure of an aromatic ring and an amine group attached by a two-carbon separator.[8] Because cathinone is a hydrophobic molecule, it can easily cross cell membranes and other barriers, including the blood–brain barrier.[33] This property allows it to interact with the monoamine transporters in the synaptic cleft between neurons. Cathinone induces the release of dopamine from brain striatal preparations that are prelabelled either with dopamine or its precursors.[34] It is more specifically a norepinephrine–dopamine releasing agent (NDRA) similarly to amphetamine.[31][32]

The metabolites of cathinone, cathine and norephedrine, also possess CNS stimulation, but create much weaker effects.[35] The effects of cathinone on the body can be countered by a preceding administration of a dopamine receptor antagonist.[35] The antagonist prevents synaptic dopamine released by cathinone from exerting its effect by binding to dopamine receptors.

Cathinone can also affect cholinergic concentrations in the gut and airways by blocking prejunctional adrenergic receptors2 adrenergic) and activating 5-HT7 receptors, thereby inhibiting smooth muscle contraction.[33] It can also induce dry mouth, blurred vision and increased blood pressure and heart rate.[8]

Cathinone is a weak agonist of the mouse, rat, and human trace amine-associated receptor 1 (TAAR1).[36][37] In contrast to cathinone however, most other cathinones are not human TAAR1 agonists.[38][37] TAAR1 activation may auto-inhibit and constrain the monoaminergic effects of monoamine releasing agents possessing TAAR1 agonism.[38][39]

Pharmacokinetics

Khat leaves are removed from the plant stalk and are kept in a ball in the cheek and chewed. Chewing releases juices from the leaves, which include the alkaloid cathinone. The absorption of cathinone has two phases: one in the buccal mucosa and one in the stomach and small intestine.[6] The stomach and small intestine are very important in the absorption of ingested alkaloids.[6] At approximately 2.3 hours after chewing khat leaves, the maximum concentration of cathinone in blood plasma is reached. The mean residence time is 5.2 ± 3.4 hours.[6] The elimination half-life of cathinone is 1.5 ± 0.8 hours.[6] A two-compartment model for absorption and elimination best describes this data. However, at most, only 7% of the ingested cathinone is recovered in the urine.[6] This indicates that the cathinone is being broken down in the body. Cathinone has been shown to selectively metabolize into R,S-(-)-norephedrine and cathine. The reduction of the ketone group in cathinone will produce cathine. This reduction is catalyzed by enzymes in the liver. The spontaneous breakdown of cathinone is the reason it must be chewed fresh after cultivation.[6]

Effects on health

The first documentation of the khat plant being used in medicine was in a book published by an Arabian physician in the 10th century.[8] It was used as an antidepressant because it led to feelings of happiness and excitement. Chronic khat chewing can also create drug dependence, as shown by animal studies.[8] In such studies, monkeys were trained to push a lever to receive the drug reward. As the monkeys' dependence increased, they pressed the lever at an increasing frequency.[8]

Khat chewing and the effects of cathinone on the body differ from person to person, but there is a general pattern of behavior that emerges after ingesting fresh cathinone:[8]

  1. Feelings of euphoria that last for one to two hours
  2. Discussion of serious issues and increased irritability
  3. Very active imagination
  4. Depression
  5. Irritability, loss of appetite and insomnia

There are other effects not related to the CNS. The chewer can develop constipation and heartburn after a khat session. Long-term effects of cathinone can include gum disease or oral cancer, cardiovascular disease and depression.[8] The withdrawal symptoms of cathinone include hot flashes, lethargy and a great urge to use the drug for at least the first two days.[8]

Chemistry

Biosynthesis

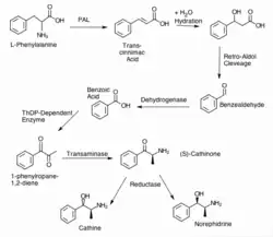
Mechanism of the Non-Beta Oxidation pathway for the biosynthesis of S-Cathinone in the Khat plant

The synthesis of cathinone in khat begins with L-phenylalanine and the first step is carried out by L-phenylalanine ammonia lyase (PAL), which cleaves off an ammonia group and creates a carbon-carbon double bond, forming cinnamic acid.[40] After this, the molecule can either go through a beta-oxidative pathway or a non-beta-oxidative pathway. The beta-oxidative pathway produces benzoyl-CoA while the non-beta-oxidative pathway produces benzoic acid.[40] Both of these molecules can be converted to 1-phenylpropane-1,2-dione by a condensation reaction catalyzed by a ThDP-dependent enzyme (Thiamine diphosphate-dependent enzyme) with pyruvate and producing CO2.[40] 1-phenylpropane-1,2-dione goes through a transaminase reaction to replace a ketone with an ammonia group to form (S)-cathinone. (S)-Cathinone can then undergo a reduction reaction to produce the less potent but structurally similar cathine or norephedrine, which are also found in the plant.[40]

Aside from the beta- and non-beta-oxidative pathways, the biosynthesis of cathinone can proceed through a CoA-dependent pathway. The CoA-dependent pathway is actually a mix between the two main pathways as it starts like the beta-oxidative pathway and then when it loses CoA, it finishes the synthesis in the non-beta-oxidative pathway. In this pathway, the trans-cinnamic acid produced from L-phenylalanine is ligated to a Coenzyme A (CoA), just like the beginning of the beta-oxidative pathway.[40] It then undergoes hydration at the double bond. This product then loses the CoA to produce benzaldehyde, an intermediate of the non-beta-oxidative pathway. Benzaldehyde is converted into benzoic acid and proceeds through the rest of the synthesis.[40]

Synthetic production

Synthesize enantiomerically pure S-Cathinone
Synthesize enantiomerically pure S-Cathinone
Racemic cathinone from propiophenone via the α-brominated intermediate
Racemic cathinone from propiophenone via the α-brominated intermediate
Two mechanism of synthesizing Cathinone

Cathinone can be synthetically produced from propiophenone through a Friedel-Crafts acylation of propionic acid and benzene.[33] The resulting propiophenone can be brominated, and the bromine can be substituted with ammonia to produce a racemic mixture of cathinone. A different synthetic strategy must be employed to produce enantiomerically pure (S)-cathinone. This synthetic route starts out with the N-acetylation of the optically active amino acid, S-alanine.[33] Then, phosphorus pentachloride (PCl5) is used to chlorinate the carboxylic acid forming an acyl chloride. At the same time, a Friedel-Crafts acylation is preformed on benzene with aluminum chloride catalyst. Finally, the acetyl protecting group is removed by heating with hydrochloric acid to form enantiomerically pure S-(-)-cathinone.[33]

Structure

Chemical structure of bupropion, a cathinone derivative

Cathinone can be extracted from Catha edulis (khat), or synthesized from α-bromopropiophenone (which is easily made from propiophenone). Because cathinone is both a primary amine and a ketone, it is very prone to dimerization, especially as a free base isolated from plant matter.[41][42] These dimers are pharmacologically inactive, and the rapid dimerization reduces active amounts of cathinone in non-fresh khat.[41][42] The rapid formation of dimers also applies to other non-N-substituted cathinones such as methylenedioxycathinone (MDC; normethylone).[41][42]

The structure of cathinone is very similar to that of other molecules. By reducing the ketone, it becomes cathine if it retains its stereochemistry, or norephedrine if its stereochemistry is inverted. Cathine is a less potent version of cathinone and cathinone's spontaneous reduction is the reason that older khat plants are not as stimulating as younger ones. Cathinone and amphetamine are closely related in that amphetamine is only lacking the ketone C=O group.[43] Cathinone is structurally related to methcathinone, in much the same way as amphetamine is related to methamphetamine. Cathinone differs from amphetamine by possessing a ketone oxygen atom (C=O) on the β (beta) position of the side chain. Advancements in synthesizing cyclic cathinones based on α-tetralone have employed chiral HPLC-CD techniques to determine the absolute configuration of enantiomers, an approach that may contribute to the development of pharmaceutical analogs with antidepressant potential.[44] The corresponding substance cathine, is a less powerful stimulant. The biophysiological conversion from cathinone to cathine is to blame for the depotentiation of khat leaves over time. Fresh leaves have a greater ratio of cathinone to cathine than dried ones, therefore having more psychoactive effects.

There are many cathinone derivatives that include the addition of an R group to the amino end of the molecule. Some of these derivatives have medical uses as well. Bupropion is one of the most commonly prescribed antidepressants and its structure is Cathinone with a tertiary butyl group attached to the nitrogen and chlorine attached to the benzene ring meta- to the main carbon chain.[43]

Other cathinone derivatives are strong psychoactive drugs. One such drug is methylone, a drug structurally similar to MDMA.

See also

References

  1. ^ Hosseinian A, Vessally E, Bekhradnia A, Nejati K, Rahimpour G (31 October 2017). "Benzoylethanamine drug interaction with the AlN nanosheet, nanotube and nanocage: Density functional theory studies". Thin Solid Films. 640: 93–98. doi:10.1016/j.tsf.2017.08.049.
  2. ^ Nutt D, King LA, Blakemore C (March 2007). "Development of a rational scale to assess the harm of drugs of potential misuse". Lancet. 369 (9566): 1047–53. doi:10.1016/S0140-6736(07)60464-4. PMID 17382831. S2CID 5903121.
  3. ^ Anvisa (2023-07-24). "RDC Nº 804 - Listas de Substâncias Entorpecentes, Psicotrópicas, Precursoras e Outras sob Controle Especial" [Collegiate Board Resolution No. 804 - Lists of Narcotic, Psychotropic, Precursor, and Other Substances under Special Control] (in Brazilian Portuguese). Diário Oficial da União (published 2023-07-25). Archived from the original on 2023-08-27. Retrieved 2023-08-27.
  4. ^ Toennes SW, Harder S, Schramm M, Niess C, Kauert GF (July 2003). "Pharmacokinetics of cathinone, cathine and norephedrine after the chewing of khat leaves". British Journal of Clinical Pharmacology. 56 (1): 125–130. doi:10.1046/j.1365-2125.2003.01834.x. PMC 1884326. PMID 12848785.
  5. ^ a b c Patel NB (June 2000). "Mechanism of action of cathinone: the active ingredient of khat (Catha edulis)". East African Medical Journal. 77 (6): 329–332. doi:10.4314/eamj.v77i6.46651. PMID 12858935.
  6. ^ a b c d e f g h Widler P, Mathys K, Brenneisen R, Kalix P, Fisch HU (May 1994). "Pharmacodynamics and pharmacokinetics of khat: a controlled study". Clinical Pharmacology and Therapeutics. 55 (5): 556–562. doi:10.1038/clpt.1994.69. PMID 7910126. S2CID 25788465.
  7. ^ Kirby A (7 April 2007). "Yemen's khat habit soaks up water". BBC News. BBC. Archived from the original on 12 October 2014. Retrieved 20 March 2015.
  8. ^ a b c d e f g h i j Al-Motarreb A, Baker K, Broadley KJ (August 2002). "Khat: pharmacological and medical aspects and its social use in Yemen". Phytotherapy Research. 16 (5): 403–413. doi:10.1002/ptr.1106. PMID 12203257. S2CID 9749292.
  9. ^ "List of psychotropic substances under international control" (PDF). International Narcotics Control Board. United Nations. 2003. Archived from the original (PDF) on 2012-08-31.
  10. ^ "Synthetic Street Drug Camouflaged as Bath Salts Has Dangerous, Bizarre Effects". PBS NewsHour. 20 September 2012. Archived from the original on 29 December 2012. Retrieved 7 December 2013.
  11. ^ Urquhart C (4 September 2004). "Drugs and dance as Israelis blot out intifada". The Guardian. Archived from the original on 8 November 2016. Retrieved 19 April 2015.
  12. ^ Chai C (16 April 2015). "What you need to know about flakka, the latest drug causing erratic behaviour". Globalnews.ca. Archived from the original on 20 April 2015. Retrieved 19 April 2015.
  13. ^ Extance A. "The rising tide of 'legal highs'". Chemistry World. Archived from the original on 3 August 2018. Retrieved 3 August 2018.
  14. ^ "Başbakanlık Mevzuatı Geliştirme ve Yayın Genel Müdürlüğü". www.resmigazete.gov.tr.
  15. ^ "НАРЕДБА за реда за класифициране на растенията и веществата като наркотични" [REGULATION on the procedure for classifying plants and substances as narcotic] (PDF). Ministry of Health (in Bulgarian). Republic of Bulgaria. Archived (PDF) from the original on 2017-08-27. Retrieved 2017-08-26.
  16. ^ Reith ME, Blough BE, Hong WC, Jones KT, Schmitt KC, Baumann MH, et al. (February 2015). "Behavioral, biological, and chemical perspectives on atypical agents targeting the dopamine transporter". Drug and Alcohol Dependence. 147: 1–19. doi:10.1016/j.drugalcdep.2014.12.005. PMC 4297708. PMID 25548026.
  17. ^ a b Forsyth AN (22 May 2012). "Synthesis and Biological Evaluation of Rigid Analogues of Methamphetamines". ScholarWorks@UNO. Retrieved 4 November 2024.
  18. ^ a b c d Blough B (July 2008). "Dopamine-releasing agents" (PDF). In Trudell ML, Izenwasser S (eds.). Dopamine Transporters: Chemistry, Biology and Pharmacology. Hoboken [NJ]: Wiley. pp. 305–320. ISBN 978-0-470-11790-3. OCLC 181862653. OL 18589888W.
  19. ^ a b c Rothman RB, Baumann MH, Dersch CM, Romero DV, Rice KC, Carroll FI, et al. (January 2001). "Amphetamine-type central nervous system stimulants release norepinephrine more potently than they release dopamine and serotonin". Synapse. 39 (1): 32–41. doi:10.1002/1098-2396(20010101)39:1<32::AID-SYN5>3.0.CO;2-3. PMID 11071707.
  20. ^ Baumann MH, Partilla JS, Lehner KR, Thorndike EB, Hoffman AF, Holy M, et al. (2013). "Powerful cocaine-like actions of 3,4-methylenedioxypyrovalerone (MDPV), a principal constituent of psychoactive 'bath salts' products". Neuropsychopharmacology. 38 (4): 552–562. doi:10.1038/npp.2012.204. PMC 3572453. PMID 23072836.
  21. ^ Baumann MH, Ayestas MA, Partilla JS, Sink JR, Shulgin AT, Daley PF, et al. (2012). "The designer methcathinone analogs, mephedrone and methylone, are substrates for monoamine transporters in brain tissue". Neuropsychopharmacology. 37 (5): 1192–1203. doi:10.1038/npp.2011.304. PMC 3306880. PMID 22169943.
  22. ^ a b Blough BE, Decker AM, Landavazo A, Namjoshi OA, Partilla JS, Baumann MH, et al. (March 2019). "The dopamine, serotonin and norepinephrine releasing activities of a series of methcathinone analogs in male rat brain synaptosomes". Psychopharmacology. 236 (3): 915–924. doi:10.1007/s00213-018-5063-9. PMC 6475490. PMID 30341459.
  23. ^ a b Fitzgerald LR, Gannon BM, Walther D, Landavazo A, Hiranita T, Blough BE, et al. (March 2024). "Structure-activity relationships for locomotor stimulant effects and monoamine transporter interactions of substituted amphetamines and cathinones". Neuropharmacology. 245: 109827. doi:10.1016/j.neuropharm.2023.109827. PMC 10842458. PMID 38154512.
  24. ^ a b Hutsell BA, Baumann MH, Partilla JS, Banks ML, Vekariya R, Glennon RA, et al. (February 2016). "Abuse-related neurochemical and behavioral effects of cathinone and 4-methylcathinone stereoisomers in rats". Eur Neuropsychopharmacol. 26 (2): 288–297. doi:10.1016/j.euroneuro.2015.12.010. PMC 5331761. PMID 26738428.
  25. ^ a b c Rothman RB, Vu N, Partilla JS, Roth BL, Hufeisen SJ, Compton-Toth BA, et al. (October 2003). "In vitro characterization of ephedrine-related stereoisomers at biogenic amine transporters and the receptorome reveals selective actions as norepinephrine transporter substrates". The Journal of Pharmacology and Experimental Therapeutics. 307 (1): 138–145. doi:10.1124/jpet.103.053975. PMID 12954796. S2CID 19015584.
  26. ^ Shalabi AR, Walther D, Baumann MH, Glennon RA (June 2017). "Deconstructed Analogues of Bupropion Reveal Structural Requirements for Transporter Inhibition versus Substrate-Induced Neurotransmitter Release". ACS Chem Neurosci. 8 (6): 1397–1403. doi:10.1021/acschemneuro.7b00055. PMC 7261150. PMID 28220701.
  27. ^ Shalabi AR (14 December 2017). Structure-Activity Relationship Studies of Bupropion and Related 3-Substituted Methcathinone Analogues at Monoamine Transporters (Thesis). Virginia Commonwealth University. doi:10.25772/M4E1-3549. Retrieved 24 November 2024 – via VCU Scholars Compass.
  28. ^ Walther D, Shalabi AR, Baumann MH, Glennon RA (January 2019). "Systematic Structure-Activity Studies on Selected 2-, 3-, and 4-Monosubstituted Synthetic Methcathinone Analogs as Monoamine Transporter Releasing Agents". ACS Chem Neurosci. 10 (1): 740–745. doi:10.1021/acschemneuro.8b00524. PMC 8269283. PMID 30354055.
  29. ^ Davies RA (10 July 2019). Structure-Activity Relationship Studies of Synthetic Cathinones and Related Agents (Thesis). Virginia Commonwealth University Virginia Commonwealth Universityvcu. doi:10.25772/TZSA-0396. Retrieved 24 November 2024 – via VCU Scholars Compass.
  30. ^ Glennon RA, Dukat M (2017). "Structure-Activity Relationships of Synthetic Cathinones". Neuropharmacology of New Psychoactive Substances (NPS). Current Topics in Behavioral Neurosciences. Vol. 32. Springer. pp. 19–47. doi:10.1007/7854_2016_41. ISBN 978-3-319-52442-9. PMC 5818155. PMID 27830576.
  31. ^ a b Rothman RB, Baumann MH (October 2003). "Monoamine transporters and psychostimulant drugs". Eur J Pharmacol. 479 (1–3): 23–40. doi:10.1016/j.ejphar.2003.08.054. PMID 14612135.
  32. ^ a b Rothman RB, Baumann MH (2006). "Therapeutic potential of monoamine transporter substrates". Current Topics in Medicinal Chemistry. 6 (17): 1845–1859. doi:10.2174/156802606778249766. PMID 17017961.
  33. ^ a b c d e Hugins KB (17 July 2014). "Cathinone: History, Synthesis, and Human Applications". slideshare. Archived from the original on 4 July 2015. Retrieved 8 March 2015.
  34. ^ Kalix P (1981). "Cathinone, an alkaloid from khat leaves with an amphetamine-like releasing effect". Psychopharmacology. 74 (3): 269–270. doi:10.1007/BF00427108. PMID 6791236. S2CID 20621923.
  35. ^ a b "Cathinone". Drug Bank. Archived from the original on 23 April 2015. Retrieved 10 March 2015.
  36. ^ Gainetdinov RR, Hoener MC, Berry MD (July 2018). "Trace Amines and Their Receptors". Pharmacol Rev. 70 (3): 549–620. doi:10.1124/pr.117.015305. PMID 29941461.
  37. ^ a b Simmler LD, Buchy D, Chaboz S, Hoener MC, Liechti ME (April 2016). "In Vitro Characterization of Psychoactive Substances at Rat, Mouse, and Human Trace Amine-Associated Receptor 1" (PDF). J Pharmacol Exp Ther. 357 (1): 134–144. doi:10.1124/jpet.115.229765. PMID 26791601. Archived from the original (PDF) on 2025-05-09.
  38. ^ a b Kuropka P, Zawadzki M, Szpot P (May 2023). "A narrative review of the neuropharmacology of synthetic cathinones-Popular alternatives to classical drugs of abuse". Hum Psychopharmacol. 38 (3): e2866. doi:10.1002/hup.2866. PMID 36866677. Another feature that distinguishes [synthetic cathinones (SCs)] from amphetamines is their negligible interaction with the trace amine associated receptor 1 (TAAR1). Activation of this receptor reduces the activity of dopaminergic neurones, thereby reducing psychostimulatory effects and addictive potential (Miller, 2011; Simmler et al., 2016). Amphetamines are potent agonists of this receptor, making them likely to self‐inhibit their stimulating effects. In contrast, SCs show negligible activity towards TAAR1 (Kolaczynska et al., 2021; Rickli et al., 2015; Simmler et al., 2014, 2016). [...] It is worth noting, however, that for TAAR1 there is considerable species variability in its interaction with ligands, and it is possible that the in vitro activity of [rodent TAAR1 agonists] may not translate into activity in the human body (Simmler et al., 2016). The lack of self‐regulation by TAAR1 may partly explain the higher addictive potential of SCs compared to amphetamines (Miller, 2011; Simmler et al., 2013).
  39. ^ Espinoza S, Gainetdinov RR (2014). "Neuronal Functions and Emerging Pharmacology of TAAR1". Taste and Smell. Topics in Medicinal Chemistry. Vol. 23. Cham: Springer International Publishing. pp. 175–194. doi:10.1007/7355_2014_78. ISBN 978-3-319-48925-4. Interestingly, the concentrations of amphetamine found to be necessary to activate TAAR1 are in line with what was found in drug abusers [3, 51, 52]. Thus, it is likely that some of the effects produced by amphetamines could be mediated by TAAR1. Indeed, in a study in mice, MDMA effects were found to be mediated in part by TAAR1, in a sense that MDMA auto-inhibits its neurochemical and functional actions [46]. Based on this and other studies (see other section), it has been suggested that TAAR1 could play a role in reward mechanisms and that amphetamine activity on TAAR1 counteracts their known behavioral and neurochemical effects mediated via dopamine neurotransmission.
  40. ^ a b c d e f Hagel JM, Krizevski R, Kilpatrick K, Sitrit Y, Marsolais F, Lewinsohn E, et al. (October 2011). "Expressed sequence tag analysis of khat (Catha edulis) provides a putative molecular biochemical basis for the biosynthesis of phenylpropylamino alkaloids". Genetics and Molecular Biology. 34 (4): 640–646. doi:10.1590/S1415-47572011000400017. PMC 3229120. PMID 22215969.
  41. ^ a b c Oeri HE (May 2021). "Beyond ecstasy: Alternative entactogens to 3,4-methylenedioxymethamphetamine with potential applications in psychotherapy". J Psychopharmacol. 35 (5): 512–536. doi:10.1177/0269881120920420. PMC 8155739. PMID 32909493.
  42. ^ a b c Shulgin A (7 December 2005). "4-Hydroxy-5-methoxy-N,N-dimethyltryptamine, Psilocybe mushrooms, Psilocin". Ask Dr. Shulgin Online. Archived from the original on 7 September 2013. Retrieved 10 September 2013.
  43. ^ a b "Synthetic cathinones drug profile". European Monitoring Center for Drugs and Drug Addiction. EMCDDA. Archived from the original on 17 March 2015. Retrieved 8 March 2015.
  44. ^ Paškan M, Dobšíková K, Kuchař M, Setnička V, Kohout M (February 2024). "Synthesis and absolute configuration of cyclic synthetic cathinones derived from α-tetralone". Chirality. 36 (2): e23646. doi:10.1002/chir.23646. PMID 38353318.