3-Benzhydrylmorpholine

3-Benzhydrylmorpholine
Identifiers
  • 3-(Diphenylmethyl)morpholine
CAS Number
PubChem CID
ChemSpider
UNII
CompTox Dashboard (EPA)
Chemical and physical data
FormulaC17H19NO
Molar mass253.345 g·mol−1
3D model (JSmol)
  • C1(C(C2=CC=CC=C2)C3NCCOC3)=CC=CC=C1
  • InChI=1S/C17H19NO/c1-3-7-14(8-4-1)17(15-9-5-2-6-10-15)16-13-19-12-11-18-16/h1-10,16-18H,11-13H2
  • Key:OVLYYUBKZWEOEQ-UHFFFAOYSA-N
  (verify)

3-Benzhydrylmorpholine is a drug that was developed by American Home Products in the 1950s.[1] It has stimulant and anorectic effects and is related to both pipradrol and phenmetrazine.

Synthesis

Patent:[2]

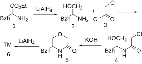
The Ethyl ester of β-Phenylphenylalanine (Diphenylalanine), i.e. ethyl 2-amino-3,3-diphenylpropanoate (CID:101017845) (1) is the starting material. Lithium aluminium hydride reduction of the ester to the primary alcohol gives 2-amino-3,3-diphenylpropan-1-ol, CID:15798949 (2). Acylation of the primary amine with chloroacetyl chloride [79-04-9] (3) gives 2-chloro-N-(3-hydroxy-1,1-diphenylpropan-2-yl)acetamide (4). Base catalyzed ring closure affords the lactam, i.e. 5-benzhydrylmorpholin-3-one (5). Further treatment with lithium aluminium hydride reduces the lactam function to the morpholine ring, thus 3-benzhydrylmorpholine is formed (6).

See also

References

  1. ^ Adderall alternatives
  2. ^ US 2993895, Winthrop SO, "3-Benzhydrylmorpholine and salts thereof, and method of preparing said compounds", issued 25 July 1961, assigned to American Home Prod.