Quadruple and quintuple innovation helix framework
The quadruple and quintuple innovation helix framework describes interactions within a knowledge economy, involving universities, industry, government – the triple helix model of innovation – complemented by the public – in a quadruple helix – and the environment – in a quintuple helix.
History
In innovation helix framework theory, first developed by Henry Etzkowitz and Loet Leydesdorff[1][2] and used in innovation economics and theories of knowledge, such as the knowledge society and the knowledge economy, each sector is represented by a circle (helix), with overlapping showing interactions.
The quadruple and quintuple innovation helix framework was co-developed by Elias G. Carayannis and David F.J. Campbell, with the quadruple helix being described in 2009[3][4] and the quintuple helix in 2010.[4][5] Various authors were exploring the concept of a quadruple helix extension to the triple helix model of innovation around the same time.[6][7][8] The Carayannis and Campbell quadruple helix model incorporates the public via the concept of a 'media-based democracy',[9] which emphasizes that when the political system (government) is developing innovation policy to develop the economy, it must adequately communicate its innovation policy with the public and civil society via the media to obtain public support for new strategies or policies.[3] In the case of industry involved in R&D, the framework emphasizes that companies' public relations strategies have to negotiate ‘reality construction’ by the media.[3]
The quadruple and quintuple helix framework can be described in terms of the models of knowledge that it extends and by five subsystems (helices) that it incorporates; in a quintuple helix-driven model, knowledge and know-how are created and transformed, and circulate as inputs and outputs in a way that affects the natural environment.[2][4] Socio-ecological interactions via the quadruple and quintuple helices can be utilized to define opportunities for the knowledge society and knowledge economy, such as innovation to address sustainable development, including climate change.[2]
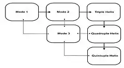
Conceptual interrelationship of models of knowledge
The framework involves the extension of previous models of knowledge, specifically mode 1, mode 2, the triple helix, and mode 3, by adding the public and the environment:

Mode 1.[10] Mode 1 was theorized by Michael Gibbons and is an elderly linear model of fundamental university research where success is defined as "a quality or excellence that is approved by hierarchically established peers” and does not necessarily contribute to industry or the knowledge economy.[2][5]
Mode 2.[10] Mode 2 was also theorized by Michael Gibbons and is context-driven, problem-focused and interdisciplinary research characterized by the following five principles: (1) knowledge produced in the context of application; (2) transdisciplinarity; (3) heterogeneity and organizational diversity; (4) social accountability and reflexivity; (5) and quality control.[2][11]
The Triple Helix model of innovation.[12] The triple helix was first suggested by Henry Etzkowitz and Loet Leydesdorff in 1995[13] and emphasizes trilateral networks and hybrid organizations of university-industry-government relations to provide the infrastructure necessary for innovation and economic development;[2][12] it provides a structural explanation for the historical evolution of mode 2 in relation to mode 1.[12]
Mode 3.[14] Mode 3 was developed by Elias G. Carayannis and David F.J. Campbell in 2006. Mode 3 emphasizes the coexistence and co-development of diverse knowledge and innovation modes, together with mutual cross-learning between knowledge modes and interdisciplinary and transdisciplinary knowledge.[4][5]
Quadruple helix. The quadruple helix adds as fourth helix the public, specifically defined as the culture- and media-based public and civil society. This fourth helix includes, for example, sociological concepts like art, the creative industries, culture, lifestyles, media, and values.[2][4]
Quintuple helix. The quintuple helix adds as fifth helix the natural environment, more specifically socio-ecological interactions, meaning it can be applied in an interdisciplinary and transdisciplinary way to sustainable development.[2][4]
The five helices

The main constituent element of the helical system is knowledge, which, through a circulation between societal subsystems, changes to innovation and know-how in a society (knowledge society) and for the economy (knowledge economy).[4] The quintuple helix visualizes the collective interaction and exchange of this knowledge in a state by means of five subsystems (helices): (1) education system, (2) economic system, (3) natural environment, (4) media-based and culture-based public (also ‘civil society’), (5) and the political system.[5] Each of the five helices has an asset at its disposal, with a societal and scientific relevance, i.e., human capital, economic capital, natural capital, social capital and capital of information capital, and political capital and legal capital, respectively.[2]

Quadruple and quintuple helix and policy making
The quadruple helix has been applied to European Union-sponsored projects and policies, including the EU-MACS (EUropean MArket for Climate Services) project,[15] a follow-up project of the European Research and Innovation Roadmap for Climate Services, and the European Commission's Open Innovation 2.0 (OI2) policy for a digital single market that supports open innovation.[16]
Quadruple and quintuple helix in academic research
The quadruple helix has implications for smart co-evolution of regional innovation and institutional arrangements, i.e., regional innovation systems.[17][18][19][20] The quintuple helix has been applied to the quality of democracy,[21][22] including in innovation systems;[23] international cooperation;[24] forest-based bioeconomies;[25] the Russian Arctic zone energy shelf;[26] regional ecosystems;[27] smart specialization and living labs;[28] climate change,[2] and sustainable development,[5] as well as to innovation diplomacy,[29] a quintuple-helix based extension of science diplomacy.
Criticism of the concept
How to define the new sectors of the public and the environment with regard to the standard triple helix model of innovation has been debated, and some researchers see them as additional sectors while others see them as different types of overarching sectors which contain the previous sectors.[17][30]
See also
References
- ^ Leydesdorff, Loet (2012). "The Triple Helix of University-Industry-Government Relations (February 2012)". SSRN Working Paper Series. doi:10.2139/ssrn.1996760. ISSN 1556-5068. S2CID 111166330.
- ^ a b c d e f g h i j Carayannis, Elias G.; Barth, Thorsten D.; Campbell, David F. J. (2012-08-08). "The Quintuple Helix innovation model: global warming as a challenge and driver for innovation". Journal of Innovation and Entrepreneurship. 1 (1): 2. doi:10.1186/2192-5372-1-2. hdl:10419/78609. ISSN 2192-5372.
- ^ a b c Carayannis, Elias G.; Campbell, David F.J. (2009). "'Mode 3' and 'Quadruple Helix': toward a 21st century fractal innovation ecosystem". International Journal of Technology Management. 46 (3/4): 201. doi:10.1504/IJTM.2009.023374. ISSN 0267-5730. S2CID 1444029.
- ^ a b c d e f g Peris-Ortiz, Marta; Ferreira, João; Farinha, Luís; Fernandes, Nuno (2016-05-27). "Introduction to Multiple Helix Ecosystems for Sustainable Competitiveness". Multiple helix ecosystems for sustainable competitiveness. Cham: Springer. pp. 1–14. doi:10.1007/978-3-319-29677-7. ISBN 978-3-319-29677-7. OCLC 950971633.
- ^ a b c d e Galvao, Anderson; Mascarenhas, Carla; Marques, Carla; Ferreira, João; Ratten, Vanessa (2019-10-02). "Triple helix and its evolution: a systematic literature review". Journal of Science and Technology Policy Management. 10 (3): 812–833. doi:10.1108/jstpm-10-2018-0103. ISSN 2053-4620. S2CID 203101066.
- ^ Rönkä, K; Orava, J (2007). Kehitysalustoilla neloskierteeseen. Käyttäjälähtöiset living lab- ja testbed-innovaatioympäristöt. Tulevaisuuden kehitysalustat -hankkeen loppuraportti [On development platforms to Quadruple Helix. User-driven living lab and testbed innovation environments. Final report of Future Development Platforms project.] (in Finnish). Helsinki: Movense Oy & The Center for Knowledge and Innovation Research, HSE.
- ^ Arnkil, Robert; Järvensivu, Anu; Koski, Pasi; Piirainen, Tatu (2010). Exploring Quadruple Helix: Outlining user-oriented innovation models. Tampere: University of Tampere. ISBN 978-951-44-8208-3.
- ^ MacGregor, Steven P. (2010). CLIQboost : baseline research for CLIQ INTERREGIVC (Creating Local Innovations for SMEs through a Quadruple Helix) : presented by the University of Girona to the city of Jyväskylä. Girona: Documenta Universitaria. ISBN 9788492707348. OCLC 804706118.
- ^ Plasser, Fritz (2004). Politische Kommunikation in Österreich : ein praxisnahes Handbuch. Wien: WUV. pp. 22–23. ISBN 3851148584. OCLC 57566424.
- ^ a b Gibbons, Michael; Nowotny, Helga; Schwartzman, Simon; Scott, Peter; Trow, Martin A. (1994). The New Production of Knowledge. Thousand Oaks: SAGE Publications. ISBN 978-0803977938. OCLC 32093699.
- ^ "Mode 1 and Mode 2 Knowledge Production", The SAGE Encyclopedia of Action Research, SAGE Publications Ltd, 2014, doi:10.4135/9781446294406.n236, ISBN 978-1-84920-027-1
- ^ a b c Etzkowitz, Henry; Leydesdorff, Loet (2000). "The dynamics of innovation: from National Systems and "Mode 2" to a Triple Helix of university–industry–government relations". Research Policy. 29 (2): 109–123. doi:10.1016/S0048-7333(99)00055-4.
- ^ Etzkowitz, Henry; Leydesdorff, Loet (1995). "The Triple Helix -- University-Industry-Government Relations: A Laboratory for Knowledge Based Economic Development". EASST Review. 14: 14–19. SSRN 2480085.
- ^ Carayannis, Elias G.; Campbell, David F. J. (2006). "'Mode 3': Meaning and implications from a knowledge systems perspective". Knowledge creation, diffusion, and use in innovation networks and knowledge clusters : a comparative systems approach across the United States, Europe, and Asia. Praeger Publishers. pp. 1–25. ISBN 0-313-08323-1. OCLC 70209391.
- ^ "GUIDELINES FOR LIVING LABS IN CLIMATE SERVICES – EU MACS". eu-macs.eu. Retrieved 2019-03-09.
- ^ hubavem (2013-12-04). "Open Innovation 2.0". Digital Single Market - European Commission. Retrieved 2019-03-09.
- ^ a b Höglund, Linda; Linton, Gabriel (2018). "Smart specialization in regional innovation systems: a quadruple helix perspective: Smart specialization in regional innovation systems". R&D Management. 48 (1): 60–72. doi:10.1111/radm.12306. S2CID 159024394.
- ^ Lew, Yong Kyu; Khan, Zaheer; Cozzio, Sara (2018). "Gravitating toward the quadruple helix: international connections for the enhancement of a regional innovation system in Northeast Italy" (PDF). R&D Management. 48 (1): 44–59. doi:10.1111/radm.12227. S2CID 55470696.
- ^ Vallance, Paul (2017). "The co-evolution of regional innovation domains and institutional arrangements: Smart specialisation through quadruple helix relations?". In Philip, McCann; van Oort, Frank; Goddard, Frank (eds.). The Empirical and Institutional Dimensions of Smart Specialisation. Abingdon: Routledge. pp. 127–144. ISBN 978-113869575-7.
- ^ Helman, Joanna (January 2020). "Analysis of the Local Innovation and Entrepreneurial System Structure Towards the 'Wrocław Innovation Ecosystem' Concept Development". Sustainability. 12 (23): 10086. doi:10.3390/su122310086. ISSN 2071-1050.
- ^ Carayannis, Elias G.; Kaloudis, Aris (2010). "A Time for Action and a Time to Lead: Democratic Capitalism and a New "New Deal" for the US and the World in the Twenty-first Century". Journal of the Knowledge Economy. 1 (1): 4–17. doi:10.1007/s13132-009-0002-y. ISSN 1868-7865. S2CID 154700666.
- ^ Carayannis, Elias G; Campbell, David FJ (2014). "Developed democracies versus emerging autocracies: arts, democracy, and innovation in Quadruple Helix innovation systems". Journal of Innovation and Entrepreneurship. 3 (1). doi:10.1186/s13731-014-0012-2. hdl:10419/146827. ISSN 2192-5372.
- ^ Campbell, David F. J.; Carayannis, Elias G.; Rehman, Scheherazade S. (2015). "Quadruple Helix Structures of Quality of Democracy in Innovation Systems: the USA, OECD Countries, and EU Member Countries in Global Comparison". Journal of the Knowledge Economy. 6 (3): 467–493. doi:10.1007/s13132-015-0246-7. ISSN 1868-7865. S2CID 152819549.
- ^ Casaramona, Andreana; Sapia, Antonia; Soraci, Alberto (2015). "How TOI and the Quadruple and Quintuple Helix Innovation System Can Support the Development of a New Model of International Cooperation". Journal of the Knowledge Economy. 6 (3): 505–521. doi:10.1007/s13132-015-0253-8. ISSN 1868-7865. S2CID 152436657.
- ^ Grundel, Ida; Dahlström, Margareta (2016). "A Quadruple and Quintuple Helix Approach to Regional Innovation Systems in the Transformation to a Forestry-Based Bioeconomy". Journal of the Knowledge Economy. 7 (4): 963–983. doi:10.1007/s13132-016-0411-7. ISSN 1868-7865.
- ^ Carayannis, Elias G.; Cherepovitsyn, Alexey E.; Ilinova, Alina A. (2017). "Sustainable Development of the Russian Arctic zone energy shelf: the Role of the Quintuple Innovation Helix Model". Journal of the Knowledge Economy. 8 (2): 456–470. doi:10.1007/s13132-017-0478-9. ISSN 1868-7865. S2CID 157751394.
- ^ Carayannis, Elias G.; Grigoroudis, Evangelos; Campbell, David F. J.; Meissner, Dirk; Stamati, Dimitra (2018). "The ecosystem as helix: an exploratory theory-building study of regional co-opetitive entrepreneurial ecosystems as Quadruple/Quintuple Helix Innovation Models: The ecosystem as helix". R&D Management. 48 (1): 148–162. doi:10.1111/radm.12300.
- ^ Provenzano, Vincenzo; Arnone, Massimo; Seminara, Maria Rosaria (2018), Bisello, Adriano; Vettorato, Daniele; Laconte, Pierre; Costa, Simona (eds.), "The Links Between Smart Specialisation Strategy, the Quintuple Helix Model and Living Labs", Smart and Sustainable Planning for Cities and Regions, Springer International Publishing, pp. 563–571, doi:10.1007/978-3-319-75774-2_38, ISBN 9783319757735
- ^ Carayannis, Elias G.; Campbell, David F. J. (2011). "Open Innovation Diplomacy and a 21st Century Fractal Research, Education and Innovation (FREIE) Ecosystem: Building on the Quadruple and Quintuple Helix Innovation Concepts and the "Mode 3" Knowledge Production System". Journal of the Knowledge Economy. 2 (3): 327–372. doi:10.1007/s13132-011-0058-3. ISSN 1868-7865. S2CID 153833947.
- ^ Leydesdorff, Loet (2012). "The Triple Helix, Quadruple Helix, …, and an N-Tuple of Helices: Explanatory Models for Analyzing the Knowledge-Based Economy?". Journal of the Knowledge Economy. 3 (1): 25–35. arXiv:1012.1937. doi:10.1007/s13132-011-0049-4. ISSN 1868-7865. S2CID 53142456.