Missense mutation

In genetics, a missense mutation is a point mutation in which a single nucleotide change results in a codon that codes for a different amino acid.[1] It is a type of nonsynonymous substitution. Missense mutations change amino acids, which in turn alter proteins and may alter a protein's function or structure.[2] These mutations may arise spontaneously from mutagens like UV radiation,[3] tobacco smoke,[4] an error in DNA replication,[5] and other factors. Screening for missense mutations can be done by sequencing the genome of an organism and comparing the sequence to a reference genome to analyze for differences.[6] Missense mutations can be repaired by the cell when there are errors in DNA replication by using mechanisms such as DNA proofreading and mismatch repair.[7][8] They can also be repaired by using genetic engineering technologies[9] or pharmaceuticals.[10][11] Some notable examples of human diseases caused by missense mutations are Rett syndrome,[12] cystic fibrosis,[13] and sickle-cell disease.[14]

This image shows an example of missense mutation. One of the nucleotides (adenine) is replaced by another nucleotide (cytosine) in the DNA sequence. This results in an incorrect amino acid (proline) being incorporated into the protein sequence.

Impact on Protein Function

Missense mutation refers to a change in one amino acid in a protein arising from a point mutation in a single nucleotide.[1] Amino acids are the building blocks of proteins. Missense mutations are a type of nonsynonymous substitution in a DNA sequence.[15] Two other types of nonsynonymous substitutions are nonsense mutations, in which a codon is changed to a premature stop codon that results in the resulting protein being cut short,[16] and nonstop mutations, in which a stop codon deletion results in a longer but nonfunctional protein.[17] The latter two types are not considered to be missense mutations.

Point mutation categories. Missense mutations are a type of nonsynonymous point mutation.

Missense mutations can render the resulting protein nonfunctional,[2] due to misfolding of the protein.[18] These mutations are responsible for human diseases, such as Epidermolysis bullosa,[19] sickle-cell disease,[20] SOD1 mediated ALS, and a substantial number of cancers.[21][22]

Not all missense mutations lead to appreciable protein changes.[15][23] An amino acid may be replaced by a different amino acid of very similar chemical properties in which case the protein may still function normally; this is termed a conservative mutation.[23] Alternatively, the amino acid substitution could occur in a region of the protein which does not significantly affect the protein secondary structure or function.[15] Lastly, when more than one codon codes for the same amino acid (termed "degenerate coding"), the resulting mutation does not produce any change in translation and hence no change in protein is observed; degenerate coding would be classified as a synonymous substitution,[24] or a silent mutation, and not a missense mutation.[15]

Origin

Missense mutations may be inherited or arise spontaneously, termed de novo mutations.[25] Well studied diseases arising from inherited missense mutations include sickle cell anemia,[26] cystic fibrosis,[13] and early-onset Alzheimer's[27] and Parkinson's disease.[28] De novo mutations that increase or decrease the activity of synapses have been implicated in the development of neurological and developmental disorders,[29] such a Autism Spectrum Disorder[29] and intellectual delay.[25]

Agents of Spontaneous Missense Mutation

Environmental mutagens, such as tobacco smoke or UV radiation, may be a cause of spontaneous missense mutations.[4][3] Tobacco smoke has been implicated in transversion mutations in the K-ras gene, with a meta-analysis of lung carcinomas showing 25 tumours containing a G to T mutation causing an amino acid change from glycine to cysteine, and 11 tumours with a G to T mutation causing an amino acid change from glycine to valine.[4] Similarly, numerous studies have shown ultraviolet light induces missense mutations in the p53 gene,[3][30]  which when unregulated, reduces the cell's ability to recognize DNA damage and engage in apoptosis, leading to cell proliferation and potential skin carcinogenesis.[3]

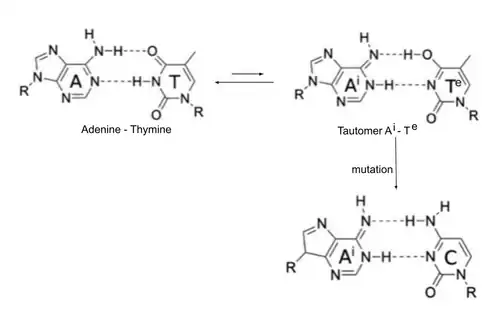
Spontaneous tautomerization of adenine, resulting in adenine mispairing with cytosine, rather than thymine, after replication. Future replications would lead to cytosine pairing with guanine, instead of an adenine-thymine pair in that location, resulting in a missense mutation.

DNA polymerase replication errors during cell division may lead to spontaneous missense mutations if DNA polymerase's proofreading ability does not detect and repair an error it makes.[25] Spontaneous DNA polymerase errors are estimated to occur at a frequency of 1/109 base pairs.[25]

Although rarer, tautomerization of bases also creates spontaneous missense mutations.[31] Tautomerization occurs when hydrogen atoms on DNA bases spontaneously change locations, impacting the structure of the base, and allowing it to pair with an incorrect base.[32] If this strand of DNA is replicated, the incorrect base will be the template for a new strand, leading to a mutation, possibly changing the amino acid and therefore, the protein.[5] For example, Wang et al., (2011) used X-ray cystallography to demonstrate that a de novo mutation was created when DNA repair mechanisms did not recognize a C-A base mismatch due to tautomerization allowing the base structures to be compatible.[33]

Screening

Next Generation Sequencing (NGS)

Next Generation Sequencing (NGS) has changed the world of sequencing by decreasing the cost of sequencing and increasing the throughput.[34] It does this by utilizing massively parallel sequencing to sequence the genome. This involves clonally amplified DNA fragments that can be spatially separated into second generation sequencing (SGS) or third generation sequencing (TGS) platforms.[35] There is variation between these protocols, but the overall methods are similar. Using massively parallel sequencing allows the NGS platform to produce very large sequences in a single run.[36] The DNA fragments are typically separated by length using gel electrophoresis.

NGS consists of four main steps, DNA isolation, target enrichment, sequencing, and data analysis.[36] The DNA isolation step involves breaking the genomic DNA into many small fragments.[6] There are many different mechanisms that can be used to accomplish this such as mechanical methods, enzymatic digestion, and more.[6] This step also consists of adding adaptors to either end of the DNA fragments that are complementary to the flow cell oligos and include primer binding sites for the target DNA.[36] The target enrichment step amplifies the region of interest. This includes creating a complementary strand to the DNA fragments through hybridization to a flow cell oligo.[36] It then gets denatured and bridge amplification occurs before the reverse strand is finally washed and sequencing can occur. The sequencing step involves massive parallel sequencing of all DNA fragments simultaneously using a NGS sequencer. This information is saved and analyzed in the last step, data analysis, using bioinformatics software.[6] This compares the sequences to a reference genome to align the fragments and show mutations in the targeted area of the sequence.[6]

Newborn Screening (NBS)

Newborn screening (NBS) for missense mutations is increasingly incorporating genomic technologies in addition to traditional biochemical methods to improve the detection of genetic disorders early in life. Traditional NBS primarily relies on biochemical assays, such as tandem mass spectrometry,[37] to detect metabolic abnormalities indicative of conditions like phenylketonuria or congenital hypothyroidism.[38] However, these methods may miss genetic causes or produce ambiguous results. To address these deficiencies, next-generation sequencing (NGS) is being added to NBS programs.[39] For instance, targeted gene panels and whole-exome sequencing (WES) are used to identify disease causing missense mutations in genes associated with treatable conditions, such as severe combined immunodeficiency (SCID) and cystic fibrosis. Studies like the BabyDetect project have demonstrated the utility of genomic screening in identifying disorders missed by conventional methods, with actionable results for conditions affecting more than 400 genes.[40][41] In addition, genomic approaches allow for the detection of rare or recessive conditions that may not manifest biochemically at birth, significantly expanding the scope of diseases screened.[42] These advancements align with the established principles of NBS, which emphasize early detection and intervention to prevent morbidity and mortality.[43]

Prevention and Repair Mechanisms

Three mechanisms of DNA repair are represented in simplified form. DNA proofreading and mismatch repair are used to fix missense mutations. Nucleotide excision repair is used to repair large DNA lesions, not missense mutations[44].

Cellular mechanisms

DNA polymerases, used in DNA replication, have a high specificity of 104 to 106-fold in base pairing.[7] They have proofreading abilities to correct incorrect matches, allowing 90-99.9% of mismatches to be excised and repaired.[7] The base mismatches that go unnoticed are repaired by the DNA mismatch repair pathway, also inherent in cells.[45][8] The DNA mismatch repair pathway uses exonucleases that move along the DNA strand and remove the incorrectly incorporated base in order for DNA polymerase to fill in the correct base.[45]Exonuclease1 is involved in many DNA repair systems and moves 5' to 3' on the DNA strand.[46]

Genetic engineering and drug-based interventions

More recently, research has explored the use of genetic engineering[9] and pharmaceuticals as potential treatments.[10][11] tRNA therapies have emerged in research studies as a potential missense mutation treatment, following evidence supporting their use in nonsense mutation correction.[47] Missense-correcting tRNAs are engineered to identify the mutated codon, but carry the correct charged amino acid which is inserted into the nascent protein.[9]

Pharmaceuticals that target specific proteins affected by missense mutations have also shown therapeutic potential.[10][11] Pharmaceutical studies have particularly focused on targeting the p53 mutant protein and Ca2+ channel abnormalities, both caused by gain of function missense mutations due to their high prevalence in a number of cancers and genetic diseases respectively.[11][47] In cystic fibrosis, most commonly caused by missense mutations,[48] drugs known as modulators target the defective Cystic Fibrosis Transmembrane Conductance Regulator (CFTR) protein.[49] For example, to reduce the defects caused by class III CFTR mutations, Ivacaftor, part of the modulator Kalydeco, forces the chloride channel to remain in an open position.[50]

Future Technology and Research

Gene therapy is being explored as a treatment for missense mutations. This involves inserting the correct sequence of DNA into an incorrect gene.[50] Artificial Intelligence programs, such as AlphaFold, are also being developed to predict the effect of missense mutations.[51] Identifying potential deleterious mutations can assist with disease diagnosis and treatment.[51]

Evolution

Diverged nucleotide sequence demonstrating how sequences diverge over time. Red letters are nucleotides changed from the original sequence.

If a missense mutation is not deleterious, it will not be selected against and can contribute to species divergence.[52][53] Over time, mutations occur randomly in individuals and can become fixed in populations if they are not selected against.[54] Missense mutations are a type of mutation that are not neutral, and therefore can be acted on by selection. Selection cannot act on synonymous mutations (mutations that do not change anything phenotypically).[55]

Tracking missense mutations, like nonsynonymous SNPs, in ancestral species populations allow genealogies and phylogenetic trees to be created and evolutionary connections to be made.[56] Missense mutation analysis is often used in evolutionary genetics to create relationships between species, as amino acid changes leading to protein changes are needed for species to diverge from each other.[57]

Notable Examples

LMNA

Wild type (left) and mutated (right) form of lamin A (pdb id: 1IFR). Normally, Arginine 527 (blue) forms salt bridge with glutamate 537 (magenta), but R527L substitution results in breaking this interaction (leucine has a nonpolar tail and therefore cannot form a static salt bridge).
    DNA: 5' - AAC AGC CTG CGT ACG GCT CTC - 3'
         3' - TTG TCG GAC GCA TGC CGA GAG - 5'
   mRNA: 5' - AAC AGC CUG CGU ACG GCU CUC - 3'
Protein:      Asn Ser Leu Arg Thr Ala Leu

LMNA missense mutation (c.1580G>T) introduced at LMNA gene – position 1580 (nt) in the DNA sequence (CGT) causing the guanine to be replaced with the thymine, yielding CTT in the DNA sequence. This results at the protein level in the replacement of the arginine by the leucine at the position 527.[58] This leads to destruction of salt bridge and structure destabilization. At phenotype level this manifests with overlapping mandibuloacral dysplasia and progeria syndrome.

The resulting transcript and protein product is:

    DNA: 5' - AAC AGC CTG CTT ACG GCT CTC - 3'
         3' - TTG TCG GAC GAA TGC CGA GAG - 5'
   mRNA: 5' - AAC AGC CUG CUU ACG GCU CUC - 3'
Protein:      Asn Ser Leu Leu Thr Ala Leu

Rett Syndrome

Missense mutations in the MeCP2 protein can cause Rett syndrome, otherwise known as the RTT phenotype.[59] This phenotype primarily effects females, as males do not live with this mutation past infancy.[59] T158M, R306C and R133C are the most common missense mutations causing RTT.[59] T158M is a mutation of an adenine being substituted for a guanine causing the threonine at amino acid position 158 being substituted with a methionine.[60] R133C is a mutation of a cytosine at base position 417 in the gene encoding the MeCP2 protein being substituted for a thymine, causing an amino acid substitution at position 133 in the protein of arginine with cysteine.[12]

Sickle Cell

(1) Normal red blood cells and (2) sickled-cell red blood cells

Sickle-cell disease changes the shape of red blood cells from round to sickle shaped.[61] In the most common variant of sickle-cell disease, the 20th nucleotide of the gene for the beta chain of hemoglobin is altered from the codon GAG to GTG.[61] Thus, the 6th amino acid, glutamic acid, is substituted by valine—notated as an "E6V" or a "Glu6Val" mutation—which causes the protein to be sufficiently altered with a sickle-cell phenotype.[62] The affected cells cause issues in the bloodstream as they can become sticky due to their improper ion transport leading to them being susceptible to water loss.[14] This can cause a buildup of blood cells that obstructs blood flow to any organ in the body.[14]

Other conditions that can be caused by missense mutations

See also

References

  1. ^ a b "Definition of Missense mutation". MedTerms medical dictionary. MedicineNet. 2012-03-19. Archived from the original on 2013-12-02. Retrieved 2011-09-08.
  2. ^ a b Minde DP, Anvarian Z, Rüdiger SG, Maurice MM (August 2011). "Messing up disorder: how do missense mutations in the tumor suppressor protein APC lead to cancer?". Molecular Cancer. 10 (1): 101. doi:10.1186/1476-4598-10-101. PMC 3170638. PMID 21859464.
  3. ^ a b c d Carvalho C, Silva R, Melo TM, Inga A, Saraiva L (2024-11-27). "P53 and the Ultraviolet Radiation-Induced Skin Response: Finding the Light in the Darkness of Triggered Carcinogenesis". Cancers. 16 (23): 3978. doi:10.3390/cancers16233978. ISSN 2072-6694. PMC 11640378. PMID 39682165.
  4. ^ a b c Ahrendt SA, Decker PA, Alawi EA, Zhu Yr, Sanchez-Cespedes M, Yang SC, et al. (2001-09-15). "Cigarette smoking is strongly associated with mutation of the K-ras gene in patients with primary adenocarcinoma of the lung". Cancer. 92 (6): 1525–1530. doi:10.1002/1097-0142(20010915)92:6<1525::AID-CNCR1478>3.0.CO;2-H. PMID 11745231.
  5. ^ a b Shen CH (2023-01-01), Shen CH (ed.), "Chapter 2 - Nucleic acid-based cellular activities – DNA replication, damage, and repair", Diagnostic Molecular Biology (Second Edition), Academic Press, pp. 27–56, doi:10.1016/b978-0-323-91788-9.00009-0, ISBN 978-0-323-91788-9, retrieved 2025-03-21
  6. ^ a b c d e Qin D (February 2019). "Next-generation sequencing and its clinical application". Cancer Biology & Medicine. 16 (1): 4–10. doi:10.20892/j.issn.2095-3941.2018.0055. PMC 6528456. PMID 31119042.
  7. ^ a b c Kunkel TA (April 2004). "DNA replication fidelity". The Journal of Biological Chemistry. 279 (17): 16895–16898. doi:10.1074/jbc.R400006200. PMID 14988392.
  8. ^ a b Kunkel TA, Erie DA (2005-06-01). "DNA mismatch repair". Annual Review of Biochemistry. 74 (1): 681–710. doi:10.1146/annurev.biochem.74.082803.133243. PMID 15952900.
  9. ^ a b c Hou Y, Zhang W, McGilvray PT, Sobczyk M, Wang T, Weng SH, et al. (February 2024). "Engineered mischarged transfer RNAs for correcting pathogenic missense mutations". Molecular Therapy. 32 (2): 352–371. doi:10.1016/j.ymthe.2023.12.014. PMC 10861979. PMID 38104240.
  10. ^ a b c Striessnig J (2021-03-03). "Voltage-Gated Ca2+-Channel α1-Subunit de novo Missense Mutations: Gain or Loss of Function - Implications for Potential Therapies". Frontiers in Synaptic Neuroscience. 13: 634760. doi:10.3389/fnsyn.2021.634760. PMC 7966529. PMID 33746731.
  11. ^ a b c d Schulz-Heddergott R, Moll UM (June 2018). "Gain-of-Function (GOF) Mutant p53 as Actionable Therapeutic Target". Cancers. 10 (6): 188. doi:10.3390/cancers10060188. PMC 6025530. PMID 29875343.
  12. ^ a b Amir RE, Van den Veyver IB, Wan M, Tran CQ, Francke U, Zoghbi HY (October 1999). "Rett syndrome is caused by mutations in X-linked MECP2, encoding methyl-CpG-binding protein 2". Nature Genetics. 23 (2): 185–188. doi:10.1038/13810. PMID 10508514.
  13. ^ a b Serre J.L. (a, b), Mornet E. (b, c), Simon-Bouy B. (b, c), Boué J(, Boué A( (1993). "General Cystic Fibrosis Mutations Are Usually Missense Mutations Affecting Two Specific Protein Domains and Associated with a Specific RFLP Marker Haplotype". European Journal of Human Genetics. 1 (4): 287–295. doi:10.1159/000472426. ISSN 1018-4813. PMID 7521765.{{cite journal}}: CS1 maint: multiple names: authors list (link)
  14. ^ a b c Parker JC, Orringer EP (1990-04-27). "Sickle Cell Disease. Charles F. Whrrren and John F. Bertles, Eds. New York Academy of Sciences, New York, 1989. xiv, 477 pp., illus. $119. Annals of the New York Academy of Sciences, vol. 565. From a conference, Bethesda, MD, April 1988". Science. 248 (4954): 502. doi:10.1126/science.248.4954.502. ISSN 0036-8075. PMID 17815604.
  15. ^ a b c d Brown TA (2002). "Chapter 14, Mutation, Repair and Recombination". Genomes. 2nd edition. Oxford: Wiley-Liss.
  16. ^ Chu D, Wei L (2019-04-16). "Nonsynonymous, synonymous and nonsense mutations in human cancer-related genes undergo stronger purifying selections than expectation". BMC Cancer. 19 (1): 359. doi:10.1186/s12885-019-5572-x. ISSN 1471-2407. PMC 6469204. PMID 30991970.
  17. ^ Pal J, Riester M, Ganner A, Ghosh A, Dhamija S, Mookherjee D, et al. (2025-02-14). "Nonstop mutations cause loss of renal tumor suppressor proteins VHL and BAP1 and affect multiple stages of protein translation". Science Advances. 11 (7). Bibcode:2025SciA...11R6375P. doi:10.1126/sciadv.adr6375. ISSN 2375-2548. PMC 11817944. PMID 39937911.
  18. ^ a b c d e Stefl S, Nishi H, Petukh M, Panchenko AR, Alexov E (November 2013). "Molecular mechanisms of disease-causing missense mutations". Journal of Molecular Biology. 425 (21): 3919–3936. doi:10.1016/j.jmb.2013.07.014. PMC 3796015. PMID 23871686.
  19. ^ Miura Y, Nakagomi S (September 2021). "Management of Cutaneous Manifestations of Genetic Epidermolysis Bullosa: A Multiple Case Series". Journal of Wound, Ostomy, and Continence Nursing. 48 (5): 453–459. doi:10.1097/WON.0000000000000784. PMID 34495939.
  20. ^ Piel FB, Steinberg MH, Rees DC (April 2017). Longo DL (ed.). "Sickle Cell Disease". The New England Journal of Medicine. 376 (16): 1561–1573. doi:10.1056/NEJMra1510865. PMID 28423290.
  21. ^ Boillée S, Vande Velde C, Cleveland DW (October 2006). "ALS: a disease of motor neurons and their nonneuronal neighbors". Neuron. 52 (1): 39–59. doi:10.1016/j.neuron.2006.09.018. PMID 17015226.
  22. ^ Henderson M (May 1, 2020). "A Monumental Breakthrough?". The News-Star. pp. A1, A7. Retrieved 21 November 2022.
  23. ^ a b Kimchi-Sarfaty C, Oh JM, Kim IW, Sauna ZE, Calcagno AM, Ambudkar SV, et al. (2007-01-26). "A "Silent" Polymorphism in the MDR 1 Gene Changes Substrate Specificity". Science. 315 (5811): 525–528. Bibcode:2007Sci...315..525K. doi:10.1126/science.1135308. ISSN 0036-8075. PMID 17185560.
  24. ^ Wang S, Li L, Tao R, Gao Y (2017-06-01). "Ion channelopathies associated genetic variants as the culprit for sudden unexplained death". Forensic Science International. 275: 128–137. doi:10.1016/j.forsciint.2017.03.006. ISSN 0379-0738.
  25. ^ a b c d Al Aboud NM, Basit H, Al-Jindan FA (2025), "Genetics, DNA Damage and Repair", StatPearls, Treasure Island (FL): StatPearls Publishing, PMID 31082132, retrieved 2025-03-21
  26. ^ Tsukahara K, Chang X, Mentch F, Smith-Whitley K, Bhandari A, Norris C, et al. (2024-08-29). "Identification of genetic variants associated with clinical features of sickle cell disease". Scientific Reports. 14 (1): 20070. Bibcode:2024NatSR..1420070T. doi:10.1038/s41598-024-70922-5. ISSN 2045-2322. PMC 11362596. PMID 39209956.
  27. ^ Hoogmartens J, Hens E, Engelborghs S, Vandenberghe R, De Deyn PP, Cacace R, et al. (March 2021). "Contribution of homozygous and compound heterozygous missense mutations in VWA2 to Alzheimer's disease". Neurobiology of Aging. 99: 100.e17–100.e23. doi:10.1016/j.neurobiolaging.2020.09.009. hdl:10067/1746160151162165141. PMID 33023779.
  28. ^ Cooper C, Goldman J, Zabetian C, Mata I, Leverenz J (2019-04-09). "SNCA G51D Missense Mutation Causing Juvenile Onset Parkinson's Disease (P5.8-026)". Neurology. 92 (15_supplement). doi:10.1212/WNL.92.15_supplement.P5.8-026. ISSN 0028-3878.
  29. ^ a b Geisheker MR, Heymann G, Wang T, Coe BP, Turner TN, Stessman HA, et al. (2017-08-01). "Hotspots of missense mutation identify neurodevelopmental disorder genes and functional domains". Nature Neuroscience. 20 (8): 1043–1051. doi:10.1038/nn.4589. ISSN 1097-6256. PMC 5539915. PMID 28628100.
  30. ^ Huang XX, Bernerd F, Halliday GM (April 2009). "Ultraviolet A within Sunlight Induces Mutations in the Epidermal Basal Layer of Engineered Human Skin". The American Journal of Pathology. 174 (4): 1534–1543. doi:10.2353/ajpath.2009.080318. PMC 2671383. PMID 19264911.
  31. ^ O'Brien JM, Beal MA, Yauk CL, Marchetti F (2016-11-10). "Next generation sequencing of benzo(a)pyrene-induced lacZ mutants identifies a germ cell-specific mutation spectrum". Scientific Reports. 6 (1): 36743. Bibcode:2016NatSR...636743O. doi:10.1038/srep36743. ISSN 2045-2322. PMC 5103183. PMID 27829668.
  32. ^ Shen CH (2023-01-01), Shen CH (ed.), "Chapter 1 - Nucleic acids: DNA and RNA", Diagnostic Molecular Biology (Second Edition), Academic Press, pp. 1–26, doi:10.1016/b978-0-323-91788-9.00005-3, ISBN 978-0-323-91788-9, retrieved 2025-03-21
  33. ^ Wang W, Hellinga HW, Beese LS (2011-10-25). "Structural evidence for the rare tautomer hypothesis of spontaneous mutagenesis". Proceedings of the National Academy of Sciences. 108 (43): 17644–17648. Bibcode:2011PNAS..10817644W. doi:10.1073/pnas.1114496108. ISSN 0027-8424. PMC 3203791. PMID 22006298.
  34. ^ Chang F, Li MM (2013-12-01). "Clinical application of amplicon-based next-generation sequencing in cancer". Cancer Genetics. Next Generation Sequencing in Clinical Cancer Genomics. 206 (12): 413–419. doi:10.1016/j.cancergen.2013.10.003. ISSN 2210-7762.
  35. ^ Xu J (2014). Next-generation sequencing: current technologies and applicaitons. Norfolk: Caister academic press. ISBN 978-1-908230-33-1.
  36. ^ a b c d Valencia CA, Pervaiz MA, Husami A, Qian Y, Zhang K (2013). Next Generation Sequencing Technologies in Medical Genetics. SpringerBriefs in Genetics. New York, NY: Springer New York. doi:10.1007/978-1-4614-9032-6. ISBN 978-1-4614-9031-9.
  37. ^ Levy HL (1998-12-01). "Newborn Screening by Tandem Mass Spectrometry: A New Era". Clinical Chemistry. 44 (12): 2401–2402. doi:10.1093/clinchem/44.12.2401. ISSN 0009-9147. PMID 9836702.
  38. ^ Cunningham G (2002-04-04). "The Science and Politics of Screening Newborns". New England Journal of Medicine. 346 (14): 1084–1085. doi:10.1056/NEJM200204043461411. ISSN 0028-4793. PMID 11932477.
  39. ^ Remec ZI, Trebusak Podkrajsek K, Repic Lampret B, Kovac J, Groselj U, Tesovnik T, et al. (2021-05-26). "Next-Generation Sequencing in Newborn Screening: A Review of Current State". Frontiers in Genetics. 12. doi:10.3389/fgene.2021.662254. ISSN 1664-8021. PMC 8188483. PMID 34122514.
  40. ^ Boemer F, Hovhannesyan K, Piazzon F, Minner F, Mni M, Jacquemin V, et al. (January 2025). "Population-based, first-tier genomic newborn screening in the maternity ward". Nature Medicine. doi:10.1038/s41591-024-03465-x. PMC 12003153. PMID 39875687.
  41. ^ Rai P, Mamcarz EK, Hankins JS (2021). "Newborn Genetic Screening for Blood Disorders". In de Alarcón PA, Werner EJ, Christensen RD (eds.). Neonatal Hematology: Pathogenesis, Diagnosis, and Management of Hematologic Problems (3rd ed.). Cambridge: Cambridge University Press. ISBN 978-1-108-48898-3.
  42. ^ Jiang S, Wang H, Gu Y (September 2023). "Genome Sequencing for Newborn Screening-An Effective Approach for Tackling Rare Diseases". JAMA Network Open. 6 (9): e2331141. doi:10.1001/jamanetworkopen.2023.31141. PMID 37656463.
  43. ^ Clarke JT (2005). "Newborn screening.". A Clinical Guide to Inherited Metabolic Diseases. Cambridge: Cambridge University Press. pp. 228–240. doi:10.1017/CBO9780511544682.011. ISBN 978-0-511-54468-2.
  44. ^ Scharer OD (2013-10-01). "Nucleotide Excision Repair in Eukaryotes". Cold Spring Harbor Perspectives in Biology. 5 (10): a012609 – a012609. doi:10.1101/cshperspect.a012609. ISSN 1943-0264. PMC 3783044. PMID 24086042.
  45. ^ a b Li GM (January 2008). "Mechanisms and functions of DNA mismatch repair". Cell Research. 18 (1): 85–98. doi:10.1038/cr.2007.115. PMID 18157157.
  46. ^ Goellner EM, Putnam CD, Kolodner RD (August 2015). "Exonuclease 1-dependent and independent mismatch repair". DNA Repair. 32: 24–32. doi:10.1016/j.dnarep.2015.04.010. PMC 4522362. PMID 25956862.
  47. ^ a b Albers S, Beckert B, Matthies MC, Mandava CS, Schuster R, Seuring C, et al. (June 2021). "Repurposing tRNAs for nonsense suppression". Nature Communications. 12 (1): 3850. Bibcode:2021NatCo..12.3850A. doi:10.1038/s41467-021-24076-x. PMC 8219837. PMID 34158503.
  48. ^ Serre J, Mornet E, Simon-Bouy B, Boué J, Boué A (2017-08-11). "General Cystic Fibrosis Mutations Are Usually Missense Mutations Affecting Two Specific Protein Domains and Associated with a Specific RFLP Marker Haplotype". European Journal of Human Genetics. 1 (4): 287–295. doi:10.1159/000472426. ISSN 1018-4813.
  49. ^ Edmondson C, Davies JC (2016-05-01). "Current and future treatment options for cystic fibrosis lung disease: latest evidence and clinical implications". Therapeutic Advances in Chronic Disease. 7 (3): 170–183. doi:10.1177/2040622316641352. ISSN 2040-6223. PMC 4907071. PMID 27347364.
  50. ^ a b "CFTR Modulator Therapies | Cystic Fibrosis Foundation". www.cff.org. Retrieved 2025-04-01.
  51. ^ a b Cheng J, Novati G, Pan J, Bycroft C, Žemgulytė A, Applebaum T, et al. (2023-09-22). "Accurate proteome-wide missense variant effect prediction with AlphaMissense". Science. 381 (6664). doi:10.1126/science.adg7492. ISSN 0036-8075.
  52. ^ Kryukov GV, Pennacchio LA, Sunyaev SR (April 2007). "Most Rare Missense Alleles Are Deleterious in Humans: Implications for Complex Disease and Association Studies". The American Journal of Human Genetics. 80 (4): 727–739. doi:10.1086/513473. PMC 1852724. PMID 17357078.
  53. ^ Koref MS, Gangeswaran R, Koref IS, Shanahan N, Hancock J (July 2003). "A phylogenetic approach to assessing the significance of missense mutations in disease genes". Human Mutation. 22 (1): 51–58. doi:10.1002/humu.10235. ISSN 1059-7794. PMID 12815593.
  54. ^ Zhang G, Pei Z, Krawczak M, Ball EV, Mort M, Kehrer-Sawatzki H, et al. (December 2010). "Triangulation of the human, chimpanzee, and Neanderthal genome sequences identifies potentially compensated mutations". Human Mutation. 31 (12): 1286–1293. doi:10.1002/humu.21389. PMID 21064102.
  55. ^ Shen X, Song S, Li C, Zhang J (2022-06-23). "Synonymous mutations in representative yeast genes are mostly strongly non-neutral". Nature. 606 (7915): 725–731. Bibcode:2022Natur.606..725S. doi:10.1038/s41586-022-04823-w. ISSN 0028-0836. PMC 9650438. PMID 35676473.
  56. ^ Hajdu A, Nyári DV, Ádám É, Kim YJ, Somers DE, Silhavy D, et al. (2024-10-25). "Forward genetic approach identifies a phylogenetically conserved serine residue critical for the catalytic activity of UBIQUITIN-SPECIFIC PROTEASE 12 in Arabidopsis". Scientific Reports. 14 (1): 25273. Bibcode:2024NatSR..1425273H. doi:10.1038/s41598-024-77232-w. ISSN 2045-2322. PMC 11511944. PMID 39455703.
  57. ^ Teixeira JC, de Filippo C, Weihmann A, Meneu JR, Racimo F, Dannemann M, et al. (May 2015). "Long-Term Balancing Selection in LAD1 Maintains a Missense Trans-Species Polymorphism in Humans, Chimpanzees, and Bonobos". Molecular Biology and Evolution. 32 (5): 1186–1196. doi:10.1093/molbev/msv007. ISSN 1537-1719. PMID 25605789.
  58. ^ Al-Haggar M, Madej-Pilarczyk A, Kozlowski L, Bujnicki JM, Yahia S, Abdel-Hadi D, et al. (November 2012). "A novel homozygous p.Arg527Leu LMNA mutation in two unrelated Egyptian families causes overlapping mandibuloacral dysplasia and progeria syndrome". European Journal of Human Genetics. 20 (11): 1134–1140. doi:10.1038/ejhg.2012.77. PMC 3476705. PMID 22549407.
  59. ^ a b c Brown K, Selfridge J, Lagger S, Connelly J, De Sousa D, Kerr A, et al. (February 2016). "The molecular basis of variable phenotypic severity among common missense mutations causing Rett syndrome". Human Molecular Genetics. 25 (3): 558–570. doi:10.1093/hmg/ddv496. PMC 4731022. PMID 26647311.
  60. ^ Zhou Z, Goffin D (2014). "Modeling Rett Syndrome with MeCP2 T158A Knockin Mice". In Patel VB, Preedy VR, Martin CR (eds.). Comprehensive Guide to Autism. New York, NY: Springer New York. pp. 2723–2739. doi:10.1007/978-1-4614-4788-7_181. ISBN 978-1-4614-4787-0. Retrieved 2025-02-07.
  61. ^ a b Esoh K, Wonkam A (2021-03-01). "Evolutionary history of sickle-cell mutation: implications for global genetic medicine". Human Molecular Genetics. 30 (R1): R119 – R128. doi:10.1093/hmg/ddab004. ISSN 0964-6906. PMC 8117455. PMID 33461216.
  62. ^ "141900 Hemoglobin—Beta Locus; HBB: .0243 Hemoglobin S. Sickle Cell Anemia, included. Malaria, Resistance to, included. HBB, GLU6VAL — 141900.0243". Online 'Mendelian Inheritance in Man' (OMIM).
  63. ^ Yang L, Yu P, Chen X, Cai T (August 2016). "The de novo missense mutation N117S in skeletal muscle α-actin 1 causes a mild form of congenital nemaline myopathy". Molecular Medicine Reports. 14 (2): 1693–1696. doi:10.3892/mmr.2016.5429. ISSN 1791-2997. PMID 27357517.