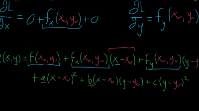
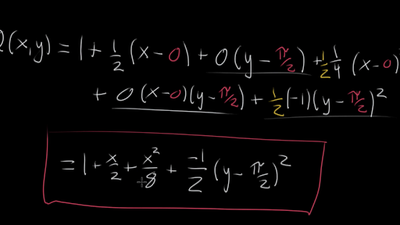
Quadratic approximations

How to approximate a multivariable function with a quadratic function. This is analogous to a quadratic Taylor polynomial in single-variable calculus.