Khan Academy (English - US curriculum)
Math
Algebra 2
Equations
Rational equations
Rational equations
Learn how to solve equations that have a rational expression, or a few of those.
Rational equations intro
Rational equations intro
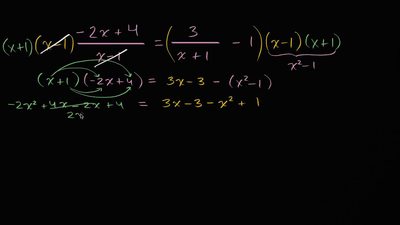
Equations with rational expressions
Equations with rational expressions (example 2)
Rational equations
Finding inverses of rational functions
Find inverses of rational functions