Khan Academy (English - US curriculum)
Science & Engineering
Chemistry
Redox reactions and electrochemistry
Oxidation-reduction reactions
Oxidation-reduction reactions
Oxidation and reduction
Oxidation state trends in periodic table
Practice determining oxidation states
Unusual oxygen oxidation states
Oxidizing and reducing agents
Disproportionation
Worked example: Balancing a simple redox equation
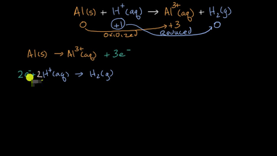
Worked example: Balancing a redox equation in acidic solution
Worked example: Balancing a redox equation in basic solution
Redox titrations
Oxidation–reduction (redox) reactions