Khan Academy (English - US curriculum)
Math
Algebra 1
Systems of equations
Equivalent systems of equations
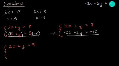
Equivalent systems of equations
Why can we subtract one equation from the other in a system of equations?
Worked example: equivalent systems of equations
Worked example: non-equivalent systems of equations
Reasoning with systems of equations
Reasoning with systems of equations