3D divergence theorem

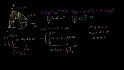
An earlier tutorial used Green's theorem to prove the divergence theorem in 2-D, this tutorial gives us the 3-D version (what most people are talking about when they refer to the "divergence theorem"). We will get an intuition for it (that the flux through a close surface--like a balloon--should be equal to the divergence across it's volume). We will use it in examples. We will prove it in another