Khan Academy (English - US curriculum)
Science & Engineering
Chemistry
Nuclear chemistry
Radioactive decay
Radioactive decay
Mass defect and binding energy
Nuclear stability and nuclear equations
Types of decay
Writing nuclear equations for alpha, beta, and gamma decay
Half-life and carbon dating
Half-life plot
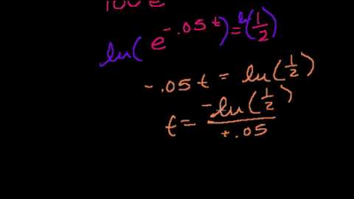
Exponential decay formula proof (can skip, involves calculus)
Exponential decay problem solving
More exponential decay examples
Exponential decay and semi-log plots