Khan Academy (English - US curriculum)
Math by grade
Eureka Math/EngageNY
Geometry (Eureka Math/EngageNY)
Module 2: Similarity, proof, and trigonometry
Topic D: Applying similarity to right triangles
Topic D: Applying similarity to right triangles
Simplifying square roots
Simplify square roots
Simplifying square roots (variables)
Simplify square roots (variables)
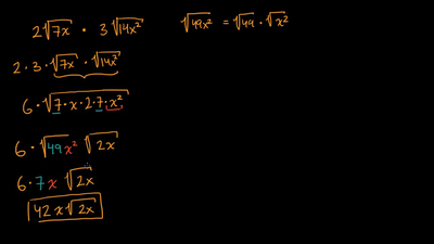
Simplifying square-root expressions
Simplify square-root expressions
Pythagorean theorem proof using similarity