Khan Academy (English - US curriculum)
Science & Engineering
Chemistry
Redox reactions and electrochemistry
Cell potentials under nonstandard conditions
Cell potentials under nonstandard conditions
Galvanic cells and changes in free energy
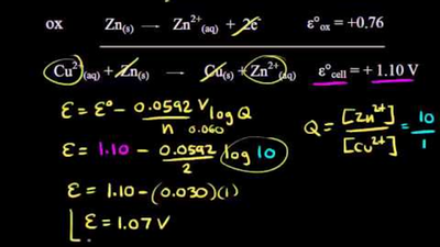
Nernst equation
Using the Nernst equation
Concentration cell
2015 AP Chemistry free response 1b and c