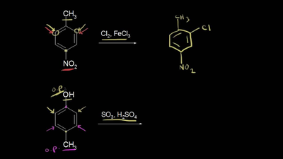
Directing effects

In this tutorial, Jay shows you the directing effects of substituents on a benzene ring. Knowledge of Electrophilic Aromatic Substitution reactions is assumed.