Khan Academy (English - US curriculum)
Math
AP®︎ Statistics
Sampling distributions
Sampling distributions for sample proportions
Sampling distributions for sample proportions
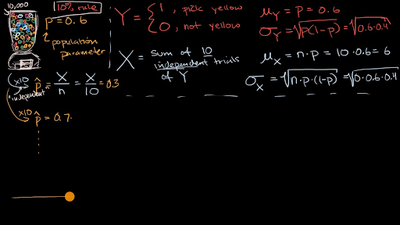
Sampling distribution of sample proportion part 1
Sampling distribution of sample proportion part 2
Normal conditions for sampling distributions of sample proportions
The normal condition for sample proportions
Mean and standard deviation of sample proportions
Probability of sample proportions example
Finding probabilities with sample proportions