Khan Academy (English - US curriculum)
Math
Precalculus
Composite and inverse functions
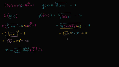
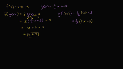
Verifying inverse functions by composition
Verifying inverse functions by composition
Verifying inverse functions from tables
Using specific values to test for inverses
Verifying inverse functions by composition
Verifying inverse functions by composition: not inverse
Verify inverse functions