Khan Academy (English - US curriculum)
Math
AP®︎ Calculus AB
Applying derivatives to analyze functions
Using the candidates test to find absolute (global) extrema
Using the candidates test to find absolute (global) extrema
Finding absolute extrema on a closed interval
Absolute minima & maxima (closed intervals)
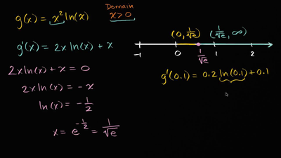
Absolute minima & maxima (entire domain)
Absolute minima & maxima (entire domain)