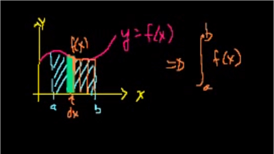
Double integrals

A single definite integral can be used to find the area under a curve. With double integrals, we can start thinking about the volume under a surface!